都说加沙人均寿命不过20,怎么我发现一个2019年的数据说加沙人均寿命74.2?
都说加沙人均寿命不过20,怎么我发现一个2019年的数据说加沙人均寿命74.2?https://wk.baidu.com/view/3cae760b5c0e7c...
- 42 个点赞 👍被审核的答案
因为是谣言
哈粉们在混淆一个概念,加沙地区是平均年龄不到20岁,而不是人均寿命不到20岁
知道这俩数字的区别是什么吗?
平均年龄,当一个60岁老人带俩个30岁中年带7个2岁的小孩,那么这十个人平均年龄是13.4岁
人均寿命则是要利用同一年各年龄人口的死亡率水平,来代替同一代人在不同年龄的死亡率水平,然后计算出各年龄人口的平均生存人数,由此推算出这一年的人口平均预期寿命。
很多支持哈马斯的人故意混淆概念,用平均年龄来冒充人均寿命博取同情,加沙地区是能生,生育率最高的时候达到4.9。所以新生儿多拉低平均年龄
加沙地区从2000年的113万人变成2022年的216万人,在露天大监狱搞种族灭绝搞成这样,我想说犹太人真是废物
编辑于 2024-01-08 13:20・IP 属地辽宁查看全文>>
坚决反对红卫兵 - 3 个点赞 👍被审核的答案
查看全文>>
Aalanyj - 0 个点赞 👍
因为你混淆了年龄中位数和出生时预期寿命~~~(具体解释请自行百度)
以下为加沙地带人口统计部分数据 供参考。
加沙地带(2023 年预计)
人口 2,098,389
人口增长率 2.07%
出生率 27.5 出生/1000 人
死亡率3 死亡/1000 人
年龄结构
0-14岁: 39.75%(男性415,804/女性394,236)
15-64岁:57.34%(男性580,693/女性587,807)
65岁及以上:2.91%(男性31,671/女性27,533)年龄中位数
总人口:19.2 岁
男性: 18.9 岁
女性:19.5 岁
出生时预期寿命
总人口: 74.8岁
男性: 73岁
女性: 76.8岁加沙人口金字塔
另外截止2023年 年龄中位数最大的国家是摩纳哥摩纳哥 56.2 年龄最小的国家是尼日尔
尼日尔 15.1 查看全文>>
9119 - 143 个点赞 👍
查看全文>>
爱国主播 - 97 个点赞 👍
一个是平均年龄 一个是人均预期寿命
人均预期寿命是指能平均能活多久 中国是78岁 加沙是74岁 差不多
而人均年龄是所有人平均的寿命 假设三个一岁的 一个七十的 那这四个人的平均年龄就是18 反应的其实是老龄化程度
加沙和很多中东国家都是这样的 生育率太高 年轻人多老人少 平均年龄就低 我之前见过一个伊拉克大叔 家里二十多个孩子 普通家庭三四个也正常 伊拉克25岁以下人口占60% 所以平均年龄很低 加沙也是一样的
有些人故意把18岁的平均年龄和74的人均预期寿命混淆 就是故意忽悠不懂的人
编辑于 2024-01-08 21:34・IP 属地澳大利亚真诚赞赏,手留余香还没有人赞赏,快来当第一个赞赏的人吧!查看全文>>
肉肉的环球旅行 - 72 个点赞 👍
查看全文>>
编辑个人资料 - 28 个点赞 👍
正常,不造谣就不会说话呗,还能怎么办?
我们通常说的人均寿命,就是指预期寿命,而不是所有人的平均寿命
中国78岁,只比加沙74岁略高,你们不会觉得中国所有人的平均寿命有78岁吧?
中国平均年龄是39岁,加沙生育率高,小孩子多,所有平均年龄小很多,所以这个值基本没参考意义,一般也没人题
人均寿命(期望寿命)通常还可以用来评价当地,营养,医疗等水平,很明显,常年拿援助的加沙人,日子过的比世界大多数地方好多了
另外比较搞笑的事,加沙弹丸之地有8所大学,而人口面积相当的上海闵行区只有7所大学
当然这一切,全部建立在加沙人可以拿到天量援助的基础上,有钱自然有吃有喝有学校有医院
编辑于 2024-01-08 19:05・IP 属地上海查看全文>>
吃饭没给钱 - 19 个点赞 👍
查看全文>>
温酒 - 14 个点赞 👍
应该说以色列杀的巴勒斯坦
人的人均寿命是二十多岁,不论这些死亡的青年是扔石头被杀,还是拿刀袭击以色列人被杀亦或者是在以色列军事行动 中附带伤亡。巴勒斯坦人如果没被以色列人杀,也没被哈马斯
“锄奸”的话,七十多岁预期寿命是很容易做到的。事实上巴勒斯坦人只要不折腾,他们可以过得很好。

这是联合国的统计报告,没人反对吧?
末端段落表示60岁及以上人口占6%。
然后有的人就盯着这6%嫌少,所以得出结论“巴勒斯坦人都长不大,因为未成年时就都死了。”
那接下来我们做一道小学应用题。
已知文中段落显示总人口是549万人,6%就是549*0.06=32.94万人。
这32.94万人六十年前就是0岁以上,对吧?也就是2023-60=1963年。
然后接着找巴勒斯坦人口历年统计表。
(请忽略右边巴勒斯坦每五年人口2%稳增长的结果,毕竟这是以色列几十年来富有成效的种族灭绝的恶果。)
1965年巴勒斯坦总人口,114.8万,那只能在统计上忽略前两年出生人数的误差。
这帮现在占比6%的老人在60年前的人口结构占比是32.94/114.8=0.2869≈28.69%≈1/3。
怎么?当时在一个国家或地区占1/3的人口比例,很少吗?这叫他们长不大吗?
我们再倒推一下。
32.94万人,每年增长2%,六十年后人口是多少?32.94*1.02ˇ60=108.77万。
巴勒斯坦地区总人口549万,说明什么?说明这帮老人自己还不是生育主力。
你跟我说巴勒斯坦被“种族灭绝”,“他们的孩童长不大,”在我看来,这叫“持续融资对股权不断稀释。”
巴勒斯坦这6%的老龄人占比就是不断通过工业文明下婴幼儿的高存活率和低成本粮食援助外加高生育率迅速迭代稀释出的人口占比。
原本占比1/3的群体,在人口六十年内翻五倍的条件下可不给你稀释成6%?
都被种族灭绝了人口还能跟美股股指一样这么逐年稳增长?
总人口里有1/3的婴幼儿,知道中国什么时候处在这个阶段吗?1990年左右。正好是巴勒斯坦建国后的两年。
32074/115751=0.277≈27.7%。
中国用这个人口结构和一胎政策限制,发展成啥样了?我都懒得翻数据仔细看了。1990年中国人均年度GDP不到350美元,现在都快破万了。翻了至少27倍吧?
巴勒斯坦这几十年干啥了?发展经济再打仗还是贩卖战争?
这还不算巴勒斯坦之外还有七百来万巴勒斯坦人,也在领联合国发的低保,现在的“巴勒斯坦人”,其实至少有1350万。
而且巴勒斯坦人有全球独一份的特权---难民身份世袭罔替。在约旦,埃及,叙利亚,黎巴嫩生活着五次中东战争里逃出来的巴勒斯坦难民,他们的身份都是巴勒斯坦难民,他们的子女也是巴勒斯坦难民身份,子女的子女也是巴勒斯坦难民身份,只要是巴勒斯坦难民身份,联合国就发钱发粮食。
但是在别的国家,因战争而逃离的百姓,只有第一代人是难民身份,第二代就不用想着领低保了。比如越战期间,香港收了一大批越南难民,现在这帮人的后代个个说着流利的粤语当着标准的港人。
所以
美国军工复合体裹挟美国在伊拉克和阿富汗打仗大肆敛财?这个说法既然成立。
那联合国每年付这么多白花花的银子买粮食,你说ABCD国际粮食集团的利益绑定在不在这里面???
联合国的钱又是哪来的???
看看列表呗。
有几个笑话
1.印度交的会费连中国和日本交的零头都不到,想进常任理事国。
2.日本不是常任理事国,交的比法德英都多,真·怨zhong。
3.巴勒斯坦那一片,约旦埃及黎巴嫩加起来都没到以色列交的一半多,然后联合国天天骂以色列,原来以色列每年在花钱找骂。
全球最穷的地方,绝对不是巴勒斯坦地区,不信瞧瞧津巴布韦的通胀。但是巴勒斯坦过去三十年来前后至少领了150亿美元援助,最后除了每天朝以色列发射火箭弹和生孩子,没干别的,他们甚至不希望通过旅游业来发展经济,就任由加沙失业率战前长期稳定在40%,在民怨沸腾即将揭锅的时候,向以色列开战。
还总有人说巴勒斯坦人现在处境跟当年中国抗战一样,再不反抗就亡国灭种了,这就是纯纯抛开事实不谈的暴论了。
先不提中东的匹配机制进没进民族主义社会的阶段,巴勒斯坦能亡什么国能灭什么种?巴勒斯坦周边十几个国家全是同文同种同习俗同宗教,巴勒斯坦如果没了,巴勒斯坦老百姓就过不下去了?他们去叙利亚讨生活能直接无缝链接拎包入住好吧,比我们少民去北上广务工还丝滑。(为什么不去接壤的黎巴嫩,埃及和约旦?他们自己当年给邻居们整太多活,让黎巴嫩,埃及和约旦有阴影了呗。)
按照中国人的逻辑,巴勒斯坦没资格建国,他只有资格当一个省。要建国就得建一个以埃及,叙利亚,伊拉克,阿尔及利亚,突尼斯,利比亚,卡塔尔,阿曼,阿联酋为省的阿拉伯共和国。(纳赛尔:对对对,我这辈子干的就是这件事,唉我后悔呀,当初干嘛挑以色列当垫脚石。)
中国的亡国灭种跟人家完全不是一个概念,抗战要是失败了,剩下的人能往哪润?谁跟你同文同种?谁跟你宗教兄弟?
沦陷区还得学日语。但以色列有人要求阿拉伯人学希伯来语吗?
编辑于 2024-01-09 11:34・IP 属地湖南查看全文>>
茶包 - 10 个点赞 👍
74岁是期望寿命,人均74岁那还了得,得多少140岁的寿星才能吧人均拉倒74岁那么高。
我再给几个数据对比:
我国期望寿命78.2岁,65岁人口占比14.9%
加沙 74.2岁,65岁人口占比:2.8%
当然,我国人口已经开始步入老龄化,出生率低,新生儿少,这样比有点不公平,我加几个出生率高,人口结构年轻化一点的
印度 68岁,65岁人口占比:6.8%
格林纳达
:74岁,65岁人口占比:8.9%秘鲁
:74岁,65岁人口占比:6.4%巴西:74岁,65岁人口占比:9.9%
乌兹别克斯坦 74, 65岁人口占比:5.2%
我也就随便顺着题主的表格查了一下人口结构,,加沙地带
65岁人口占比要比同期望寿命或者更低期望寿命的国家或地区要低一大截。再放几个65岁人口占比接近加沙的高出生率国家,看看他们的人均期望寿命
刚果
59.8岁,65岁人口占比:2.4%阿富汗 64.2岁, 65岁人口占比:2.4%
乍得 53.3岁,65岁人口占比:2.9%
尼日利亚
:54.5岁, 65岁人口占比:3%这样一对比,差不多就可以得出一个初步的结论了,就是加沙人均期望74.2岁,这个数据本身可能就很有问题。这还是只用65岁以上的数据,如果用的是70岁以上数据变形的就更厉害了。而所谓的人均期望寿命应该说活过这条线就是算相对长寿,没过就算相对早逝。事实上加沙人能成功活到65岁的概率也就差不多60%,活到75岁的概率都不足一半。而作为对比,我国65岁存活概率80%,80岁存活概率50%,而我国预期寿命
才78.2岁。当然这个期望寿命是只在正常情况下,没有意外因素自然死亡的平均年龄。像这次以色列袭击
造成超过2万加沙巴勒斯坦人死亡,也就是差不多1%加沙人直接死于以色列人的袭击是不计入统计的。但即便如此这个74.2岁单纯从统计学角度来看依旧挺奇怪的,数据失真的可能性很高。如果不是加沙人天赋异禀或者有什么黑科技,正常情况下应该也就60多岁。发布于 2024-01-08 16:21・IP 属地上海查看全文>>
雨齐 - 9 个点赞 👍
先给你点赞,发现哈粉造谣的破绽了!加沙人平均寿命是74.2,所谓的加沙人寿命20,实际说的是加沙的平均年龄,被哈粉造谣曲解为平均寿命。因为加沙出生率特别高,平均每个家庭五个孩子,人口正处于爆发式增长阶段,导致平均年龄偏低。
发布于 2024-01-09 09:20・IP 属地日本查看全文>>
天问 - 5 个点赞 👍
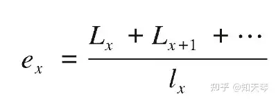
平均期望寿命,是指在一定的年龄别死亡率水平下,活满某一年龄的人将来还可能继续生存的平均年数。死亡统计指标之一。其公式为:

公式中,ex为x岁人口的平均期望寿命,Lx为寿命表上x岁人口的生存人年数,lx为x岁开始时的人口数。在寿命表中可找到某一年龄男子或女子的平均期望寿命。出生时的平均期望寿命(即e。)常简称“平均寿命”。
编辑于 2024-01-08 17:51・IP 属地广西查看全文>>
知天琴 - 5 个点赞 👍
这个很简单。
你随便进入一家美国幼儿园,统计幼儿园孩子的平均年龄。
平均年龄各位数字,一般不会到五岁。
然后就可以发出一则惊天新闻,震惊全世界。
美国幼儿平均寿命不足五岁,实锤了,美国人生活在水深火热之中。
然后就会有一群人给你点赞,收藏,转发。
编辑于 2024-01-08 22:48・IP 属地辽宁真诚赞赏,手留余香还没有人赞赏,快来当第一个赞赏的人吧!查看全文>>
江湖未老人 - 5 个点赞 👍
查看全文>>
五岁大 - 5 个点赞 👍
查看全文>>
日行一善LWJ - 4 个点赞 👍
因为以色列的天兵不断战败,七只大佐玉碎,十万部队被打残溃逃出去美其曰休整,国内经济崩溃,物资紧缺,债台高筑。海外众叛亲离。人人喊打除英美外无人参与护航。
所以必须开辟一个个新战场,你看现在知乎几年前的黑账被翻出来多少,一句如何评价远方青木的一句调侃,就能让他们高潮几百楼。
就和加沙的天兵一样,对着建筑,树木,空气哈马斯疯狂输出,高呼大捷有异曲同工之妙。
你看下面回答基本九成都是一群无处发泄的在高呼战胜哈粉。
以后这种事会越来越多。例如人均800美元补贴和年轻人70%失业率的加沙。雨水都被以色列征税还有以色列免费水电的加沙。更会有加沙人均大学教育超过上海和加沙人都是不学无术的宗教狂徒这种左右互搏。
原因很简单,以色列正面战场全面溃退。哪怕有一丝一毫的胜利希望,他们也会在每个帖子下面高呼灌水淹死这帮老鼠等种种反人类的狂欢来掩饰心虚。但现在连这点都做不到就只能和英烈法出台前的汉奸一样,大造各种鬼子建设东北的来美化侵略者了。想想吧,谁都说日本731搞大屠杀但我得到的数字哈尔滨人预期寿命最高和这味儿多搭啊。英烈法刚出台那会儿我亲手送进去这种汉奸不知道几个了。
发布于 2024-01-11 06:23・IP 属地广东查看全文>>
者也 - 2 个点赞 👍
就加沙那个环境的生存条件,你说74.2我是不信的,那种环境下就是以色列不发动战争,他们婴儿从出生到长成年夭折率也是非常高的,但要是某些人非得把加沙以外的巴勒斯坦人算上以偷换概念或者论证投降以色列的合理性,那我也没什么好说,毕竟屁股问题无解。
编辑于 2024-01-09 10:10・IP 属地江苏查看全文>>
星之所在 - 2 个点赞 👍
没有人均寿命不到20,但很多人活不到成年也是真的。实际上有的数据只有期望寿命,是按本年度各年龄死亡率推算的,当年没出什么大事、以色列人懒得杀人,就会显得各个年龄段的死亡率都较低,期望寿命就比较高;像今年这样的年份,人均寿命就会比较难看。但对于加沙人来说,从小孩长大要经过的这种灾年就太多了。单独某一年的期望寿命对于加沙人来说没有太大的统计意义。
加沙周边都是有一定发展程度的地区,自然条件不算恶劣,没有严重的公共卫生问题,城市化水平不低,靠着在外务工的巴勒斯坦人也算有点钱,国际援助也不少,加沙人的受教育水平不低,可能是因为只有受过教育才有外出去其他地方工作的机会。这个地方本来有人均期望寿命达到75以上的潜力的,他们所有苦难的来源都只有一个,就是以色列的封锁和屠杀。
发布于 2024-01-09 13:39・IP 属地北京真诚赞赏,手留余香还没有人赞赏,快来当第一个赞赏的人吧!查看全文>>
灵剑 - 2 个点赞 👍
查看全文>>
莫非茫茫路 - 2 个点赞 👍
查看全文>>
猫与香辛料 - 2 个点赞 👍
查看全文>>
克苏鲁的召唤 - 1 个点赞 👍
最近多次看到一个说法 记者采访加沙巴勒斯坦男孩问他长大干什么 男孩回答他活不到成年 又看到报道从以色列2005年撤出时加沙地带人口146万增长到2022年的237万 怎么回事啊
发布于 2024-01-09 12:29・IP 属地北京查看全文>>
水瓶座 - 1 个点赞 👍
查看全文>>
梦里乌纱 - 1 个点赞 👍
查看全文>>
某年某月某天 - 1 个点赞 👍
都说加沙人均寿命不过20,怎么我发现一个2019年的数据说加沙人均寿命74.2?
这个数据没找到,找到了
https://www.un.org/development/desa/pd/sites/www.un.org.development.desa.pd/files/undesa_pd_2021_levels-and-trends-in-child-mortality.pdf
也可以看: State of Palestine (PSE) - Demographics, Health & Infant Mortality - UNICEF DATA
Under-five mortality rate (U5MR) (deaths per 1,000 live births)
五岁以下儿童死亡率 (每1000名活产婴儿死亡)
Annual rate of reduction(ARR) (per cent)
年减少率(%)
Number of under-five deaths (thousands)
五岁以下儿童死亡人数(千)
Sex-specific under-five mortality rate (deaths per 1,000 live births)
五岁以下儿童的特定性别死亡率(每1000名活产婴儿死亡)
Infant mortality rate (deaths per 1,000 live births)
婴儿死亡率(每1000名活产婴儿)
Number of infant deaths (thousands)
婴儿死亡人数(千)
Neonatal mortality rate (deaths per 1,000 live births)
新生儿死亡率(每1000名活产婴儿死亡)Probability of dying among children aged 5–14 years (per 1,000 children aged 5)
死亡概率年龄段的儿童5-14年(每1000名5岁儿童)当然,这是巴勒斯坦的数据……
具体到加沙的话……
UNRWA Report Finds Infant Mortality in Gaza No Longer in Decline - Press Release
The new study found that the infant mortality rate among Palestine refugees in Gaza was 22.7 per 1000 live births. This is within the same range of the previously reported rate of 22.4 per 1000 live births in 2015 and 20.2 per 1000 live births from the study conducted in 2006.发布于 2024-01-09 16:19・IP 属地北京查看全文>>
卡拉迦迪斯 - 1 个点赞 👍
查看全文>>
养猪酱 - 1 个点赞 👍
看过黑影坠落的人应该都对开头艾迪德的人直接劫走联合国的粮食援助有印象。现在的所谓人道主义援助已经变成了一场各方共同参演的吞金游戏。
马歇尔计划可以帮助欧洲从废墟中重新建立起一批第一世界国家,但若把马歇尔计划放到非洲和中东,只能造就一批又一批的援助黑洞。
缺乏正常有效的秩序体系,导致援助的效率大打折扣,也把援助变成了只要联合国及自由贸易体系还存在一天就只能眼睁睁地看着但却不得不做的无止尽的投入,并且由此形成了一个错综复杂的利益网络:真的想要帮助他们的大善人援助者,借着援助想为自己谋取功名利益的援助者,夺走了援助的大头甚至会为了能保证援助的持续而刻意不断制造苦难的地头蛇,只能吃点残羹剩饭的真正的被援助者,各路以当地新闻谋生的媒体记者,借题发挥满足自己心理需求的看客们等。这是一场人类社会的大型抽象表演,不停的一遍又一遍上演却什么问题都无法解决。
题主你看到的现象不过只是为了维持这场表演所做的小小助力罢了。
把钱施舍给正常人可以帮助他们度过难关,但把钱施舍给赌狗只是让他们又有资本继续把钱输光。
发布于 2024-01-09 23:01・IP 属地新加坡查看全文>>
sks963 - 1 个点赞 👍
算是汉语里的一点带有强烈暗示意味的语意偏差。
报道者有意混淆了平均年龄与平均寿命的概念,而结合“寿命”一次的使用环境,更完整的称呼应该是“平均预期寿命”,一个人已经活了多少岁和他将会活多少岁是两个完全不同的概念。
媒体工作者是真的翻译水平低下么?我国初中高中的教育里对新闻类应用文的培养还挺重视的,如果真察觉不到的话我只能说从业者水平实在说唱,报出去之前不知道过一下脑子。当然也不排除他们的职业操守有问题,但比起质疑一个人的品行我还是愿意更善良地先质疑他的业务水平。
发布于 2024-01-10 01:26・IP 属地北京查看全文>>
如犬 - 1 个点赞 👍
查看全文>>
SpaceForce - 1 个点赞 👍
平均每个加沙人能活74岁。
现在一个加沙人生了五个孩子,那人均的年龄不是不到20岁?
发布于 2024-01-11 07:32・IP 属地广东真诚赞赏,手留余香还没有人赞赏,快来当第一个赞赏的人吧!查看全文>>
五个橘核






