如何看待以色列驻成都大使馆发的中国人写给以色列的信?
- 1 个点赞 👍被审核的答案
强烈建议把这领事馆关闭了,这是赤裸裸的对我们国人的侮辱和挑衅,我们抗战牺牲了几千万人,仅四川就有几百万人牺牲才有了现在的新中国的和平,难道我们还分不清什么是纳粹,什么事侵略吗?
发布于 2023-11-18 12:34・IP 属地广东查看全文>>
雪狼 - 0 个点赞 👍被审核的答案
我来提供一个不一样的观点 ,这封信其实压根也不是写给粉粉人看的,而是出口产品,所谓的米利坚文化圈内宣特供啦。
么系大侄子们最喜欢的引用素材了呢。
编辑于 2023-11-16 01:19・IP 属地中国澳门查看全文>>
墨汝 - 0 个点赞 👍被审核的答案
查看全文>>
Artifacts - 513 个点赞 👍
查看全文>>
子纯质夫 - 386 个点赞 👍
查看全文>>
Skuld - 246 个点赞 👍
你找人造假,我没意见
但能不能至少找个会说中文的人造假
就算不找会说的,至少找个会写的

“马”和“牙”能不能区分开来?能不能?!!!
竖折折钩能不能写明白!!
我踏马找个幼儿园学生都能写好的字
你这信我看压根儿就不是写的
是对照着电脑方正姚体临摹的吧?
这字让强迫症看着真的火都来了
“您们”都懒得吐槽了
来来来,你给我对照着下面的好好写
写1000遍!写好了再出来重写一封!
编辑于 2023-11-15 17:38・IP 属地广东查看全文>>
Osward - 191 个点赞 👍
查看全文>>
白莲人设不掉 - 110 个点赞 👍
查看全文>>
忘川摆渡翁 - 109 个点赞 👍
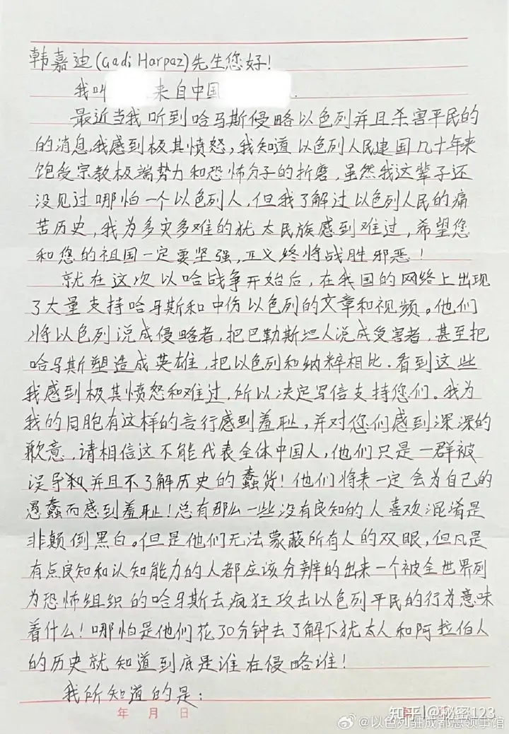
只看第一段我就绷不住了,同时确信这封信确实是中国人写的,因为这货在信中所表现出来的文化素养以及文字的丑陋程度,都完全符合大家对殖人的一切刻板印象。
首先,这格式就不对,哪有称呼和问候语写在一排的?而且称呼后面不加冒号,这货小学都是睡过去的吧?

然后从第一句末尾开始,所有句号都是用一个“.”代替。

接着第二段第一句就是病句,“当我”后面要接“的时候”或“时”,而且“哈马斯”三个字错了两个,“马”字笔画不对,他把竖折折钩的第一个竖折分开了,“斯”字中间多了一横。

最后,第一段一共出现了六个“我”字,频率如此之高地使用第一人称代词,既说明作者非常自我,也说明他平时阅读量不高,对文字的敏感性极低。

强忍不适看完第一段,我实在没勇气继续读下去了,如果支持以色列的都是这种货色,那么也从侧面证明了这个国家气数已衰。
发布于 2023-11-15 22:32・IP 属地四川查看全文>>
抠脚大叔 - 71 个点赞 👍
查看全文>>
喵呜喵呜咕 - 17 个点赞 👍
查看全文>>
高山昙 - 16 个点赞 👍
肯定不是以色列人写的就对了。这历史水平也就比吃瓜的人强点。以色列好歹是个高等教育率接近一半的国家,历史作业还能写成这样?
因为“阿拉伯是7世纪入侵并在以色列殖民成为现在的巴勒斯坦人”这个叙述本身就是错的。
1867年马克吐温来耶路撒冷玩的时候,这里荒无人烟,只有稀稀拉拉几个贝都因人的帐篷。
「看不到任何村莊,只有兩三個貝督因人的帳篷,但沒有任何的永久性建築,走十幾公里可能都見不到十個人。」
「所有土地和難看景色來評比,巴勒斯坦算是王子等級。山丘貧瘠,枯乏的顏色,沒有任何景色可言。山谷裡只有曠野和少得可憐的植被,顯出這裡的可悲和絕望。」——马克吐温《傻子旅行记》1867巴勒斯坦人的来源并不是本地的阿拉伯人,而是亚美尼亚、吉普赛、切尔克斯、土库曼等族群与阿拉伯的混合,他们最早聚集在巴勒斯坦地区也是因为19世纪末20世纪初犹太人在约旦河西岸开工厂,过来当劳工的。一来二去把本地的贝都因人给接近灭绝了。
“巴勒斯坦人”这个名词在20世纪前就不存在,真正成型都是第一次中东战争之后的事儿了。这就是个在当时全球民族解放运动中赶趟儿虚构出来的新族群。不然你看看前几次中东战争,名义上都是为巴勒斯坦而打,可实际上巴勒斯坦都在打酱油,你甚至说不上他们有啥叫得出名字的党派在活动——实在没办法,因为巴解都要1964年才成立。
而且阿拉伯人也不care这里,前面马克吐温说的荒凉大家稍微感受一下:

1910-1920的耶利哥平原,现在已经是丰饶之地 那后来为什么又care了呢?因为被他们踩在脚下的犹太人居然支棱起来了嘛。早年间犹太人想到圣殿山去磕个头都要给阿拉伯人交税的,这种被赶到满世界流浪的下等人突然回来了一堆,搁你你不气?
“我可以没有,但我不能看着你有。”如果你对后面的故事发展有一些了解,你会明白这就是20世纪自从犹太复国运动后,阿拉伯人的真实心态。
另外阿拉伯人入侵以色列国是说不上,因为这里先是罗马后是奥斯曼,犹太人大部分被赶得满世界转悠去了。只剩一些很虔诚的犹太人还坚持居住在这鸟不生蛋的地方(这也是为什么正统教在以色列如此地位崇高的原因之一,没他们这建国的火种还真就没了)。
稍微对这地方历史有点了解,你就不得不承认一件事:
单就说理而言,跨过181决议和1967年界线的法理框架的话,巴勒斯坦人无论从法理、历史、人种甚至经文上,都没法跟犹太人抗衡。
想更深入一点了解一些巴以历史的细节的话可以参考本人答案。不过也许会颠覆你的过往认知:
编辑于 2023-11-17 23:22・IP 属地上海查看全文>>
涂子 - 16 个点赞 👍
这位陌生的中国朋友显然不够朋友,真朋友就应该肉身出镜,用纯正的普通话大声朗读一遍,情到深处泪流满面,大使馆人员依次上前拥抱安慰,执手相看泪眼。能不能照这个剧情整一个,演员就从知乎的以友中选,谁被选上那真是祖坟冒了烟了。
发布于 2023-11-19 21:07・IP 属地江苏查看全文>>
哄哄 - 16 个点赞 👍
先不论立场如何,但凡接受过九年义务教育的人,都能发现这封信漏洞百出,还不如小学生作文。
真的,知乎微博上随便找个以吹,都不至于弄成这样。
我甚至怀疑这是反串黑。
发布于 2023-11-15 20:32・IP 属地四川查看全文>>
满江风浪夜如何 - 15 个点赞 👍
查看全文>>
如果 - 14 个点赞 👍
查看全文>>
Donatien - 13 个点赞 👍
查看全文>>
Mark - 10 个点赞 👍
查看全文>>
奔跑的拉条子 - 9 个点赞 👍
传说中的犹太宣传能力:手眼通天,控制主流媒体,封杀一切不利言论,潜移默化地植入崇拜犹太人的思想钢印
实际上的犹太宣传能力:你看图中这两匹马多美,黑白相间的毛色映衬着海边的晚霞,左边那匹比右边那匹角长
编辑于 2023-11-15 20:57・IP 属地北京查看全文>>
郑云潇 - 8 个点赞 👍
花点钱,哪怕花点钱呢?
整的什么烂活,都不说语法,错别字问题了,经过中小学大量手写训练的中国人,文字间距基本是一样的,而且快速书写是能看出连笔的。
放信封里的信纸,你好歹狠狠折一下啊,褶子印也太浅了,真的,花点钱吧。
发布于 2023-11-15 14:19・IP 属地江苏查看全文>>
小明在哪里 - 8 个点赞 👍
怎么说呢,看完这封信我就想起了这张图:

说起来在希伯来语中有一个说法叫做:זה סינית בשבילי。这句话直译过来就是:对我来说这是中文。זה סינית בשבילי – ויקיפדיה (wikipedia.org)(希伯来语版)其意思类似于:这对我来说像是天书。也许对于这些人来说,能写中文就不错了吧。
不过这样的手段也太拙劣了,一看就是应付差事呢。
发布于 2023-11-17 09:36・IP 属地辽宁真诚赞赏,手留余香还没有人赞赏,快来当第一个赞赏的人吧!查看全文>>
LevYashin - 8 个点赞 👍
中国人一般都会说极端宗教势力,很少说宗教极端势力。
因为在我们看来,一个势力的是不是宗教我们并不care,是不是极端才是我们关注的点。
而只有在以色列这种政教合一的国家,才会把宗教这种中国人不关注的因素作为最重要的定语做前缀。
发布于 2023-11-19 22:58・IP 属地河南查看全文>>
瓶盖守护者 - 7 个点赞 👍
不就是“陌生中国朋友的来信”吗?
我也发一封,还附带礼物,请韩大屎注意查收,也希望您们能真正懂得中国人的幽默,更希望,您们能把我这份礼物也发到微博上,彰显中国人反对犹太纳粹主义的坚定信念,
心疼我的12.6元。
更心疼我可能的仕途。。。。。。。。
发布于 2023-11-16 11:26・IP 属地福建查看全文>>
土豆 - 7 个点赞 👍
查看全文>>
云深不知处 - 7 个点赞 👍
这种自编自导的小儿科问题有啥可讨论的?
单看写的字,如跳蚤占坑全无章法,确定这是小学毕业了?
文法、俚语习惯等更是与正常的汉语使用方式大相径庭——你要“创作”要宣传,好歹也找个中国通来完成吧?这是把中国人民的群体智慧看得有多低,随便找了个枪手就裱出来了?
最后奉劝这些“使馆人员”一句,墨写的文字,决掩不住血写的事实。多行不义,就是把全球的媒体开动起来辩护也是枉然。
发布于 2023-11-16 08:17・IP 属地陕西真诚赞赏,手留余香还没有人赞赏,快来当第一个赞赏的人吧!查看全文>>
YLSHD - 6 个点赞 👍
请个假中国人!
还写得那么烂!
还给中国人看!
呸!恶心
这种事你们可以花点钱嘛!
花点!
哪怕请个殖子呢?
花不了多少钱!
哪怕请个小殖子呢?
简直就是唇珠!唇珠都不如!
还想让中国人念你们好!
就一句话!恶心!
中国人是不会念你们好了!
恶心!恶心!
恶心啦!恶心!
呸!恶心!恶心!
发布于 2023-11-15 13:45・IP 属地广东查看全文>>
秘密123 - 6 个点赞 👍
查看全文>>
Tabris - 6 个点赞 👍
呸!哪怕花点钱呢!
写这个蹩脚的玩意是什么意思?
一股浓烈的英语作文翻译味!
带着以色列人特有的傲慢与狂妄
字里行间表达对中国人的鄙夷和对以色列的崇拜
哪怕他花个几十块钱呢!也不至于让这篇蹩脚恶心的文章污了我和大家的眼!
以色列就这个水平?犹太人就这个水平?
这宣传水平还不如台湾呢!
发布于 2023-11-15 21:09・IP 属地甘肃查看全文>>
但是甜甜圈真好吃 - 5 个点赞 👍
就连个中国人代笔也不请是吧?还是说就连罕见也不想帮你们以色列鬼子了是吧?
【您们】是个什么用法? 所有的【巴】字或者部首里不是竖而是点。
以言丁真,鉴定为把人当傻子。
发布于 2023-11-15 10:36・IP 属地日本查看全文>>
白金 - 5 个点赞 👍
有人说,为什么以色列不花多点钱,请个更专业的人来写信?
说出这话的人,太不懂以色列了。
为什么当初它们要在沙漠流浪了40年?
因为它们不慎在沙漠丢了一个铜板,心疼得它们找了40年。
发布于 2023-11-16 06:11・IP 属地广东查看全文>>
zik










